Social Preferences and the Informativeness of Subjective Performance Evaluations

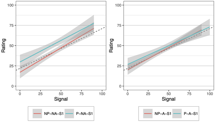
The effect of performance pay on ratings in treatments with one signal. The dashed black line denotes the optimal rating function for supervisors without social preferences (𝜂 = 0).

Abstract

We study biases and the informativeness of subjective performance evaluations in an MTurk experiment, testing the implications of a standard formal framework of rational subjective evaluations. In the experiment, subjects in the role of workers perform a real effort task. Subjects in the role of supervisors observe samples of the workers’ output and assess their performance. We conduct 6 experimental treatments varying (i) whether workers’ pay depends on the performance evaluation, (ii) whether supervisors are paid for the accuracy of their evaluations, and (iii) the precision of the information available to supervisors. Moreover, we use the exogenous assignment of supervisors to workers to investigate the association between supervisors’ social preferences and their rating quality. In line with the model of optimal evaluations, we find that ratings are more lenient and less informative when they determine bonus payments. Rewards for accuracy reduce leniency and can enhance informativeness. When supervisors have access to more detailed performance information, their ratings vary more with the performance signal and become more informative. Contrary to expectations, we do not find that more prosocial supervisors are systematically more lenient when their ratings affect worker’s payoffs. Instead, they are more diligent in their rating behavior, resulting in more accurate and informative performance evaluations.

Publication
Management Science, Vol. 71 (2025): 4028–4531